Ferric carboxymaltose is safe and more effective than oral iron for patients with decompensated cirrhosis and iron deficiency anemia, and demonstrates circulatory, renal and prognostic benefits

Ilias Tsiakasa, Christina Koustousib, Grigorios Despotisa, Dimitrios Birosa, Spyridon Tsiourisc, Lampros Lakkasd, Reveka Konstantopouloua, Dimitrios Christodouloub, Haralampos Milionisa, Georgios N. Kalambokisa

School of Medicine, University of Ioannina, Greece; University Hospital of Ioannina, Greece

aFirst Division of Internal Medicine Department, School of Medicine, University of Ioannina, Greece (Ilias Tsiakas, Grigorios Despotis, Dimitrios Biros, Reveka Konstantopoulou, Haralampos Milionis, Georgios N. Kalambokis); bDepartment of Gastroenterology, School of Medicine, University Hospital of Ioannina, Greece (Christina Koustousi, Dimitrios Christodoulou); cLaboratory of Nuclear Medicine, School of Medicine, University of Ioannina, Greece (Spyridon Tsiouris); dSecond Department of Cardiology, School of Medicine, University Hospital of Ioannina, Greece (Lampros Lakkas)

Correspondence to: Georgios N. Kalambokis, Associate Professor of Internal Medicine, First Division of Internal Medicine Department, Medical School, University of Ioannina, Ioannina, 45110, Greece, e-mail: gkalambo@uoi.gr
Received 10 July 2025; accepted 13 September 2025; published online 10 October 2025
DOI: https://doi.org/10.20524/aog.2025.1012
© 2025 Hellenic Society of Gastroenterology

Abstract

Background Iron deficiency anemia (IDA) commonly complicates patients with decompensated cirrhosis (DC). We investigated the efficacy of intravenous ferric carboxymaltose (FCM) over oral iron in treating IDA in these patients, the circulatory and renal effects of each treatment, and the prognostic impact of FCM.

Methods We prospectively evaluated non-acutely anemic patients with DC and hemoglobin levels 8-10 g/dL: 58 with IDA (serum ferritin <30 ng/mL) and 90 without IDA. Patients with IDA received oral iron polymaltose (IP) for 3 months and those not achieving hemoglobin increases ≥2 g/dL switched to FCM. Systemic vascular resistance (SVR) as mean arterial pressure/cardiac output ratio, plasma renin activity (PRA), plasma aldosterone, glomerular filtration rate (GFR) and renal blood flow (RBF) were evaluated 3 months after each treatment. All patients with recurrent IDA during follow up received FCM. New/recurrent decompensation and survival rates were assessed in patients with and without IDA.

Results Hemoglobin increased by ≥2 g/dL in 6/51 (11.7%) patients who tolerated IP, compared to 34/45 (75.5%; P<0.001) FCM-treated patients. FCM use was safe and, unlike IP, it significantly increased SVR, GFR and RBF, while significantly reducing PRA and plasma aldosterone (P<0.001). Percentage hemoglobin changes correlated with changes in SVR (r=0.533; P<0.001), GFR (r=0.775; P<0.001) and RBF (r=0.803; P<0.001). FCM-treated patients showed lower 5-year risk of decompensation (P=0.002) and mortality (P=0.006), and lower incidence of hepatorenal syndrome (n=0.03), than patients without IDA.

Conclusions FCM outperforms oral iron in ameliorating IDA in DC patients with DC. Addressing IDA yields positive circulatory, renal and prognostic outcomes.

Keywords Iron deficiency anemia, decompensated cirrhosis, ferric carboxymaltose, circulatory function, prognosis

Ann Gastroenterol 2025; 38 (6): 691-698


Introduction

Anemia is a frequent complication of cirrhosis caused by diverse mechanisms, including blood loss, hypersplenism and nutritional deficiencies, and may affect up to two thirds of patients with advanced liver disease [1,2]. Iron deficiency anemia (IDA) has been reported in nearly half of patients who have cirrhosis [1,3] without recent acute gastrointestinal bleeding (GIB), and is more common in those with decompensated cirrhosis (DC) [1]. Chronic blood loss, primarily resulting from gastroesophageal varices and portal hypertensive gastropathy, is the leading cause of IDA in these patients [2].

Anemia in patients with cirrhosis has been linked to exacerbation of hyperdynamic circulation [4-8] and increased risk of decompensation [1,9,10], renal impairment [11], and liver-related mortality [1,9,12,13]. Therefore, addressing potentially reversible causes of anemia, such as iron deficiency, especially in patients with DC, might hold major clinical importance. Nevertheless, there are limited data on the response of IDA to iron therapy in patients with cirrhosis [14,15], and there are no guidelines for managing IDA in this context. Additionally, no evidence exists on the long-term circulatory and renal effects, and the prognostic significance of treating IDA in these patients.

Oral iron intake may be a practical first-line approach for IDA associated with cirrhosis [16], but its effectiveness can be limited by a delayed response and gastrointestinal adverse effects, including constipation [2], which could predispose to hepatic encephalopathy (HE). Additionally, patients with portal hypertension may experience reduced oral iron absorption [17]. Conversely, intravenous ferric carboxymaltose (FCM) is well-tolerated and enables rapid delivery of large amounts of iron [18]. FCM has demonstrated safety and effectiveness over oral iron in raising hemoglobin levels in patients with other chronic diseases, such as inflammatory bowel disease [19], chronic kidney disease [20], and congestive heart failure [21]. However, concerns have been raised regarding the potential hepatotoxicity of intravenous iron in patients with cirrhosis, due to iron overload, especially in those with advanced liver disease [22,23]; this could impact outcomes.

The present study investigated the efficacy of oral iron in increasing hemoglobin levels in patients with DC and IDA, along with the impact of FCM on enhancing response rates in those not responding sufficiently to oral treatment. Additionally, we assessed the effects of each treatment on circulatory function, and renal function and perfusion, as well as the effect on patients’ outcomes of replacing IDA with FCM.

Patients and methods

Patients

Consecutive patients with DC seen at the outpatient hepatology clinics of the University Hospital of Ioannina, Greece, between January 2019 and January 2023, were prospectively evaluated. All participants provided written informed consent. The study conformed to the principles of the Declaration of Helsinki, and was approved by the Institutional Ethics Committee. The diagnosis of cirrhosis was based on clinical and laboratory findings, endoscopy, imaging studies, or on liver biopsy. Serum ferritin levels <30 ng/L were employed for the diagnosis of IDA in our study since this threshold has been shown to be highly accurate in identifying IDA [16]. We enrolled patients with moderate anemia, defined by hemoglobin levels between 8-10 g/dL [24], aged 18-75 years, who had a history of diuretic-responsive ascites and/or variceal bleeding (VB) and stable serum creatinine <1.5 mg/dL. Exclusion criteria were: a) anemia due to vitamin B12 or folate deficiency or autoimmune hemolysis; b) ongoing iron supplements; c) history of acute GIB or bacterial infection at least 3 months prior to inclusion; d) uncontrolled HE; e) portal vein thrombosis on imaging; f) hepatocellular carcinoma (HCC) and gastrointestinal or other malignancy; g) recent (within 6 months) or active ethanol use; h) Child-Pugh score >12 points; i) insertion of transjugular intrahepatic portosystemic shunt (TIPS); and k) history of chronic renal, cardiovascular or pulmonary disease. Beta-blockers and diuretics were not withheld during the investigations. Before entering the study, patients with chronic hepatitis B were treated with nucleoside/nucleotide analogs and had undetectable levels of viral DNA, while patients with chronic hepatitis C attained complete viral eradication after receiving direct-acting antiviral agents. No endoscopic treatment was performed in patients with IDA.

Study design

An outline of the study design is illustrated in Fig. 1. All patients with IDA meeting the predefined inclusion and exclusion criteria were examined within 3 consecutive days, starting at 8.00 am. On the first day, following an overnight fast, blood samples were obtained from the supine patient, for assessing plasma renin activity (PRA) and plasma aldosterone levels (samples stored at -80°C until assayed), hemoglobin and blood counts, serum ferritin, iron and transferrin levels, total iron-binding capacity (TIBC), transferrin saturation (serum iron/TIBC × 100), serum B12 and folate, liver and renal biochemistry, serum electrolytes, and coagulation profiles. Model for end-stage liver disease (MELD) and Child-Pugh score/class were calculated. Transthoracic echocardiography and evaluation of systemic hemodynamics were subsequently performed. Over the next 2 days, renal blood flow (RBF) and glomerular filtration rate (GFR) were assessed, after which every patient received oral iron polymaltose (IP), 200 mg once daily. Patients who failed to achieve a rise in hemoglobin levels of ≥2 g/dL following 3 months of oral iron treatment switched to FCM at doses adjusted to baseline hemoglobin levels and body weight (1000 mg followed by a second dose of either 500 or 1000 mg on day 7) [22]. Patients who presented hemoglobin increases ≥2 g/dL continued IP for a further 3 months. All investigations were conducted again at 3 months in all patients who tolerated oral iron therapy, and 3 months after receiving FCM. Additional routine blood test evaluations were performed after 1 and 4 weeks of each iron therapy. Patients unable to tolerate oral iron for 3 months proceeded with FCM, and 3 months later, only hemoglobin and serum ferritin concentrations were evaluated. However, the latter patients were included in the outcome analysis.

Figure 1 Study design outline

*IP, iron polymaltose; **FCM, ferric carboxymaltose

thumblarge

Considering the constraints of chronic oral iron therapy, and assuming that FCM is at least equally effective as oral iron for patients with DC and IDA, all patients with IDA at entry, including those who responded to oral iron treatment, received FCM infusions during follow-up evaluations if hemoglobin levels were <10 g/dL and serum ferritin was <30 ng/mL. Iron overload during the follow-up period was characterized by serum ferritin levels >300 μg/L and transferrin saturation >40% [25]. Patients with cirrhosis without IDA were given red blood cell (RBC) transfusions when hemoglobin fell to <7-8 g/dL, or at higher levels if warranted due to symptoms [26], and were assessed solely in the outcome analysis.

The observation period started with the initial FCM infusion for patients with IDA, or at entry for those without IDA. All patients were assessed every 3-6 months until death, liver transplant, TIPS insertion, last visit or January 2025. Specifically for patients without IDA, the observation period ended if IDA was detected during follow up. Liver-related events, including new or recurrent decompensation (ascites, VB, HE), hepatorenal syndrome (HRS) or bacterial infections, and liver-related deaths due to VB, HRS, bacterial infections, HCC and liver failure, were recorded over a 5-year period. All events were specified as reported earlier [27].

Evaluation of systemic hemodynamics

Two-dimensional echocardiography (Philips EPIQ 7C, Philips Healthcare, Andover, MA, USA) was used to assess cardiac output (CO). Mean arterial pressure (MAP) was measured by an automated oscillometric device. The ratio of MAP to CO was used as an index of systemic vascular resistance (SVR).

Evaluation of renal function and hemodynamics

An activity of approximately 111 MBq (3 mCi) of 99mTechnetium-mercapto-acetyl-triglycine (99mTc-MAG3; NephroMAG 0,2 mg, ROTOP Pharmaka GmbH, Dresden, Germany), or 148 MBq (5 mCi) of 99mTc-diethylene-triamine-pentaacetic acid (99mTc-DTPA; PENTACIS, CIS bio international, Saclay, France), were injected bolus intravenously for the calculation of the effective renal plasma flow (ERPF) and the GFR, respectively. An interval of at least 24 h was left between the 2 tracer studies to avoid interference between them. The ERPF and GFR were measured by calculating the plasma disappearance rate for each radiopharmaceutical, through antecubital blood sampling at 10 and 95 min post-injection for 99mTechnetium-mercapto-acetyl-triglycine, and at 120 and 240 min for 99mTc-diethylene-triamine-pentaacetic acid. The radioactivity within each blood sample was measured in a well-type gamma counter (Atomlab 950 Medical Spectrometer, Biodex Medical Systems, USA). The ERPF was corrected for the 99mTechnetium-mercapto-acetyl-triglycine extraction ratio to yield the renal plasma flow using the standard formula. RBF was calculated as renal plasma flow/1-hematocrit.

Assays

PRA and plasma concentrations of aldosterone were measured by specific radioimmunoassays (RIAZEN Renin plasma activity, ZenTech, Belgium, and RIA Aldosterone, IMMUNOTECH, Czech Republic, respectively). The radioactivity from the radioimmunoassay samples was counted in a gamma scintillation counter (Wizard 2, Perkin Elmer, USA).

Outcome measures

The study’s main endpoints included: a) an increase in hemoglobin ≥2 g/dL at 3 months following the initiation of oral iron or FCM—an analogous endpoint was used earlier for patients with inflammatory bowel disease [28]; b) the effects of oral iron and FCM on systemic hemodynamics, and renal function and hemodynamics at 3 months; and c) the long-term clinical outcomes of patients receiving FCM vs. those without IDA.

Statistical analysis

The baseline characteristics were presented as absolute and relative frequencies for categorical variables and as mean ± standard error for continuous variables. Pearson’s chi-square test and Student’s unpaired t-test were used to compare categorical and continuous variables, respectively. The Spearman rank correlation coefficient (r) was used to evaluate the relationship between the percentage changes in hemoglobin levels and other variables. The cumulative probabilities of new or recurrent decompensation (censoring only initial events) and survival in the study groups were estimated using Kaplan-Meier analysis, and differences were assessed with the log rank test. Patients who died from causes unrelated to cirrhosis were censored alive at the time of their death. A P-value of <0.05 was considered statistically significant. All statistical analyses were performed using the SPSS 26.0 statistical package (IBM Corp., Armonk, N.Y., USA).

Results

Patients

A total of 148 eligible patients with DC and moderate anemia participated in the study (Fig. 1). IDA was diagnosed in 58 patients (39.1%). The characteristics of patients with and without IDA are shown in Table 1. The occurrence of portal hypertensive gastropathy and gastroesophageal varices showed no difference between the 2 groups. Baseline hemoglobin levels were similar in both groups, but significant differences were noted in serum ferritin levels, transferrin saturation and TIBC. Seven (12%) patients discontinued IP because of side-effects (constipation, n=5; flatulence, n=3). Mild-to-moderate transient hypophosphatemia (1-2.5 mg/dL) occurred in 9 of 52 (17.3%) FCM-treated patients during the study period. All patients were alive upon conclusion of the investigations.

Table 1 Baseline characteristics of patients with decompensated cirrhosis and moderate anemia (hemoglobin levels: 8-10 g/dL)

thumblarge

Impact of IP and FCM on hemoglobin levels and iron stores

Treatment with IP resulted in modest but statistically meaningful increases in hemoglobin concentration (9.6±0.14 vs. 8.86±0.08 g/dL; P=0.01). Hemoglobin increments ≥2 g/dL were attained in 6 of the 51 (11.7%) patients who tolerated IP treatment. Lesser hemoglobin increases between 1-1.9 g/dL were noted in 9 (17.6%) patients. A more pronounced improvement in hemoglobin concentration (11.81±0.18 vs. 9.36±0.11 g/dL; P<0.001) was observed in the 45 patients who switched to FCM. The proportion of patients achieving hemoglobin increases ≥2 g/dL was notably greater after FCM treatment compared to IP treatment (34 of 45, 75.5%; P<0.001). Similar hemoglobin changes between 1-1.9 g/dL were observed in the 39 (86.6%) FCM-treated patients, a figure markedly higher than that achieved by IP (P<0.001). The absolute (2.45±0.12 vs. 0.56±0.08 g/dL; P<0.001) and percentage increases (Fig. 2) in hemoglobin levels were significant higher after FCM than after IP treatment. While IP treatment resulted in significant increases in serum ferritin (17.1±1.2 vs. 14.5±1 μg/L; P=0.04) and decreases in transferrin saturation (13.4±6.1% vs. 16.4±5.9%; P=0.03), the magnitude of these changes was considerably less pronounced than those noted after FCM treatment: 67.4±7.6 vs. 15.1±1.1 μg/L, and 16.6±6.4% vs. 28±6.1% (P<0.001), respectively. Following IP treatment 5.8% (3/51) of patients achieved hemoglobin levels ≥12 g/dL. This figure increased to 57.7% (26/45) after FCM treatment. Among patients who discontinued IP, 5 had hemoglobin changes ≥2 g/dL and all had ≥1 g/dL, while serum ferritin increased significantly (59.5±8.5 vs. 18.3±3.2 μg/L; P<0.001).

thumblarge

Figure 2 Percentage changes in hemoglobin following treatment with oral iron (n=51) and ferric carboxymaltose (n=45)

Impact of IP and FCM on systemic hemodynamics, neurohumoral factors, and renal function and hemodynamics

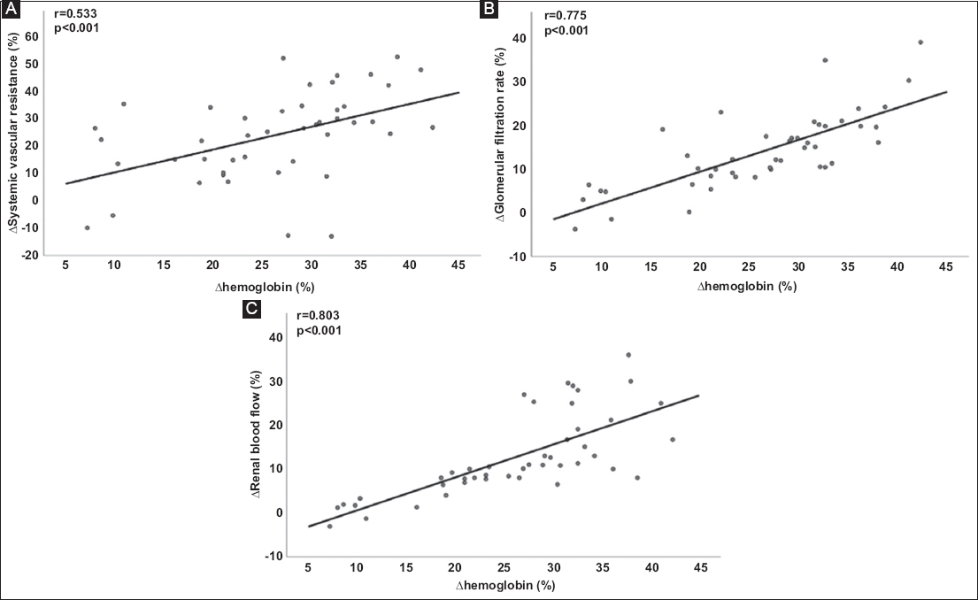
Treatment with IP resulted in a moderate yet significant increase in MAP (P=0.04) and PRA (P=0.04), while there were no changes in CO or SVR. In contrast, considerable increases in MAP and SVR (P<0.001), accompanied by significant reductions in CO, PRA and plasma aldosterone (P<0.001), were observed after FCM treatment (Table 2). IP exhibited no notable impact on GFR and RBF, whereas significant increases in both GFR and RBF (P<0.001) were demonstrated at 3 months post-FCM treatment. The percentage changes in hemoglobin were significantly correlated with the changes in SVR (r=0.533; P<0.001), GFR (r=0.775; P<0.001), and RBF (r=0.803; P<0.001) following FCM treatment (Fig. 3).

Table 2 Impact of oral iron and ferric carboxymaltose on systemic hemodynamics, vasoactive mediators, and renal function and hemodynamics in patients with decompensated cirrhosis and IDA

thumblarge
thumblarge

Figure 3 Correlation of the percentage changes in hemoglobin with the percentage changes in systemic vascular resistance (panel A), glomerular filtration rate (panel B), and renal blood flow (panel C) in patients with decompensated cirrhosis and iron deficiency anemia after ferric carboxymaltose treatment (n=45)

Long-term clinical outcomes

Over a 5-year follow-up period, 58 patients received a total of 234 double FCM infusions. None of them experienced significant hypophosphatemia or iron overload. Seven patients without IDA (7.7%) developed IDA during follow up. Three patients with IDA (5.1%) were given RBC during episodes of acute variceal bleeding. A significantly lower proportion of FCM-treated patients developed new or recurrent ascites compared to those without IDA (6 of 58 [10.3%] vs. 23/90 [25.5%]; P=0.04) whereas the rates of new/recurrent VB and HE were comparable (6 of 58 [10.3%] vs. 13 of 90 [14.4%], and 7 of 58 [12%] vs. 15 of 90 [16.6%], respectively). The 5-year probability of new or recurrent decompensation was markedly lower in FCM-treated patients than in those without IDA (40.3% vs. 78.1%; P=0.002) (Fig. 4). The occurrence of HRS was also significantly lower in patients with IDA who maintained FCM compared to those without IDA (2 of 58 [3.4%] vs. 13 of 90 [14.4%]; P=0.03), while no difference was observed in bacterial infection rates between the 2 groups (11 of 58 [18.9%] vs. 18 of 90 [20%]). Liver cirrhosis accounted for 12 deaths (VB, n=3; HRS, n=2; HCC, n=3; bacterial infection, n=2; and liver failure, n=2) in patients who continued FCM during follow up, compared to 38 deaths (VB, n=8; HRS, n=13; HCC, n=8; bacterial infection, n=5; and liver failure, n=4) in those without IDA (20.6% vs. 42.2%; P=0.006). Patients receiving FCM showed significantly greater 5-year survival compared to those without IDA (63.7% vs. 37.8%; P=0.01) (Fig. 4).

thumblarge

Figure 4 Probability of new or recurrent decompensation (panel A) and survival (panel B) in patients with decompensated cirrhosis and iron deficiency anemia (IDA) receiving ferric carboxymaltose (FCM) treatment during follow up (n=58), and in patients without IDA (n=90)

Discussion

The current study showed a high prevalence of IDA in patients with DC, approaching 40%. However, the management of IDA in patients with cirrhosis remains unclear [1]. Our results revealed limited effectiveness of oral iron supplementation in raising hemoglobin levels in patients with DC and IDA, as only 11.7% of patients reached the specified hemoglobin increase of ≥2 g/dL. In contrast, three quarters of the patients who did not respond to oral iron responded adequately to FCM, along with a greater improvement of iron stores. Our findings corroborate previous indications [17] of diminished absorption of orally administered iron in patients with advanced cirrhosis. Consistently with our observations, a recent randomized study by Tabish et al demonstrated superior efficacy of FCM over oral iron sulfate in correcting IDA in patients with cirrhosis [15]. FCM was well-tolerated by all patients in our study. On the other hand, 12% of patients discontinued oral iron, a percentage akin to that previously noted with ferrous sulfate in patients with cirrhosis [15]. IP was utilized in this study, as it has demonstrated comparable effectiveness and better tolerability relative to other oral iron formulations [29].

Advanced cirrhosis is characterized by splanchnic arterial vasodilation mediated by the production of potent vasodilators, mainly nitric oxide (NO). This results in the development of a hyperdynamic circulatory state, characterized by low arterial blood pressure and SVR alongside increased CO. The hemodynamic abnormalities intensify progressively, activating potent sodium-retaining and vasoconstricting mechanisms, such as the renin–angiotensin–aldosterone system (RAAS), which contributes to the development of ascites and renal dysfunction [30]. Interestingly, ample evidence has documented that anemia aggravates the hyperdynamic circulation of cirrhosis [4-8]. Moreover, hemoglobin levels have been linked independently to the extent of systemic vasodilation [6-8]. Low hemoglobin levels have also been reported to impair cardiovascular hemodynamics in patients with congestive heart failure, which shares pathophysiological similarities with cirrhosis [31]. Nonetheless, it has not yet been examined whether correcting treatable causes of anemia, such as iron deficiency, can affect the circulatory function in patients with advanced cirrhosis.

The current study demonstrates that increasing hemoglobin concentration with FCM attenuates the circulatory impairment of patients with DC, as evidenced by the marked increases in MAP and SVR and the significant decreases in CO and RAAS activity. Moreover, the changes in hemoglobin levels were closely linked to those of SVR after FCM treatment. Although no evidence is provided to support this contention, the most likely explanation for our findings is that the improvement of anemia caused by FCM resulted in arterial vasoconstriction due to reduced NO availability. In fact, hemoglobin has been recognized as a potent inhibitor of NO [32-34]. Experimental findings have additionally suggested that IDA might upregulate NO production [35]. In agreement with our results, elevated hemoglobin levels following erythropoietin administration attenuated the hyperdynamic syndrome in portal hypertensive animals [33]. Moreover, RBC transfusion in acutely anemic individuals with cirrhosis caused arterial vasoconstriction, contrasting with the vasodilatory effects of protein solutions [36].

The overall hemodynamic improvement and the related decrease in RAAS activity may explain the improvement in renal function and perfusion observed after FCM administration in our study. Importantly, a strong relationship was noted between the increase in hemoglobin levels and the beneficial renal effects. Reversing anemia may also enhance renal function by preventing microcirculatory hypoxia and renal tissue damage. The amelioration of renal perfusion probably accounted for the significantly lower incidence of HRS in patients who continued FCM infusions. In this regard, a connection between anemia and the onset of HRS was recently reported [11]. Like cirrhosis, anemia adversely affected renal function in patients with congestive heart failure [31], while renal function improved following IDA treatment with FCM in these patients [37].

While the clinical outcome of patients with DC is multifactorial, our results distinctly highlight the prognostic relevance of anemia and the importance of addressing potentially treatable causes of anemia. Indeed, the likelihood of decompensation and death was considerably high in patients with non-reversible anemia treated with RBC transfusions during severe anemia episodes, whereas the occurrence of decompensation, particularly due to new/recurrent ascites, and mortality were notably lower in patients with DC who received multiple FCM infusions targeting hemoglobin levels ≥10 g/dL. In this regard, it has been shown that the severity of anemia in patients with cirrhosis correlates with the level of portal hypertension [9,10]. Furthermore, moderate and severe anemia in these patients has been strongly associated with a greater occurrence of decompensation [1,9,10] and acute-on-chronic liver failure [9], together with higher liver-related mortality [1,9,12,13].

Importantly, in contrast to the results of a recent meta-analysis [38], prolonged use of FCM did not increase the risk of bacterial infections in the current cohort. Taking into account the prognostic advantages of FCM in our study, and that no patient showed evidence of iron overload, our results argue against clinically meaningful oxidative liver injury associated with intravenous iron therapy [23], aligning with recent experimental findings [39].

A major limitation of our study is the lack of randomization. In addition, our findings are confined to moderate IDA, although previous reports suggested that FCM might benefit patients with cirrhosis and severe anemia [14,15]. Finally, IDA was defined as ferritin levels <30 ng/L, although higher levels may still not rule out iron deficiency in the presence of a chronic disease [31].

In conclusion, our findings in patients with DC and chronic IDA demonstrate superior efficacy of FCM over oral iron in achieving an increase in hemoglobin concentration, which was linked to beneficial circulatory and renal effects. Moreover, multiple FCM infusions in these patients are safe, and may improve clinical outcomes, indicating that manageable causes of anemia should be promptly addressed in patients with DC.

Summary Box

What is already known:

  • Iron deficiency anemia (IDA) is highly prevalent in patients with decompensated cirrhosis (DC)

  • Anemia worsens the hyperdynamic circulation of cirrhosis

  • The appropriate management of IDA in patients with cirrhosis remains unknown

What the new findings are:


  • Intravenous ferric carboxymaltose (FCM) was safe and considerably more effective than oral iron (iron polymaltose) in increasing hemoglobin levels in patients with DC and IDA

  • The improvement of anemia by FCM exerted beneficial circulatory and renal effects in these patients

  • In contrast to untreatable causes of anemia, prolonged FCM therapy in patients with DC and IDA improved clinical outcomes

References

1. Paternostro R, Kapzan L, Mandorfer M, et al. Anemia and iron deficiency in compensated and decompensated cirrhosis:Prevalence and impact on clinical outcomes. J Gastroenterol Hepatol 2020;35:1619-1627.

2. Gkamprela E, Deutsch M, Pectasides D. Iron deficiency anemia in chronic liver disease:etiopathogenesis, diagnosis and treatment. Ann Gastroenterol 2017;30:405-413.

3. Intragumtornchai T, Rojnukkarin P, Swasdikul D, Israsena S. The role of serum ferritin in the diagnosis of iron deficiency anaemia in patients with liver cirrhosis. J Intern Med 1998;243:233-241.

4. Cirera I, Elizalde JI, PiquéJM, et al. Anemia worsens hyperdynamic circulation of patients with cirrhosis and portal hypertension. Dig Dis Sci 1997;42:1697-1702.

5. DeniéC, Poynard T, Gadano A, et al. Influence of anemia on hemodynamic changes in patients with cirrhosis. Gastroenterol Clin Biol 1997;21:29-33.

6. Lee WC, Lin HC, Hou MC, et al. Effect of anaemia on haemodynamics in patients with cirrhosis. J Gastroenterol Hepatol 1999;14:370-375.

7. Hua R, Cao H, Wu ZY. Effects of hemoglobin concentration on hyperdynamic circulation associated with portal hypertension. Hepatobiliary Pancreat Dis Int 2006;5:215-218.

8. Møller S, Hobolth L, Winkler C, Bendtsen F, Christensen E. Determinants of the hyperdynamic circulation and central hypovolaemia in cirrhosis. Gut 2011;60:1254-1259.

9. Scheiner B, Semmler G, Maurer F, et al. Prevalence of and risk factors for anaemia in patients with advanced chronic liver disease. Liver Int 2020;40:194-204.

10. Bothou C, Rüschenbaum S, Kubesch A, et al. Anemia and systemic inflammation rather than arterial circulatory dysfunction predict decompensation of liver cirrhosis. J Clin Med 2020;9:1263.

11. Bizid S, Yacoub H, Mohamed G, et al. Does anemia have a potential effect on type 2 hepatorenal syndrome?Can J Gastroenterol Hepatol 2020;2020:1134744.

12. Ren H, Li H, Deng G, et al. Severe anemia is associated with increased short-term and long-term mortality in patients hospitalized with cirrhosis. Ann Hepatol 2023;28:101147.

13. Rashidi-Alavijeh J, Nuruzade N, Frey A, et al. Implications of anaemia and response to anaemia treatment on outcomes in patients with cirrhosis. JHEP Rep 2023;5:100688.

14. Ballester-Clau R, Torres Vicente G, Cucala Ramos M, et al. Efficacy and safety of treatment with ferric carboxymaltose in patients with cirrhosis and gastrointestinal bleeding. Front Med (Lausanne) 2020;7:128.

15. Tabish M, Agarwal S, Gopi S, et al. Randomized controlled trial of intravenous ferric carboxymaltose vs oral iron to treat iron deficiency anemia after variceal bleed in patients with cirrhosis. Am J Gastroenterol 2024;119:2061-2069.

16. Lopez A, Cacoub P, Macdougall IC, Peyrin-Biroulet L. Iron deficiency anaemia. Lancet 2016;387:907-916.

17. Simbrunner B, Beer A, Wöran K, et al. Portal hypertensive gastropathy is associated with iron deficiency anemia. Wien Klin Wochenschr 2020;132:1-11.

18. Khatib MN, Sinha AP, Gaidhane S, et al. Effect of IV ferric carboxy maltose for moderate/severe anemia:a systematic review and meta-analysis. Front Med (Lausanne) 2024;11:1340158.

19. Bonovas S, Fiorino G, Allocca M, et al. Intravenous versus oral iron for the treatment of anemia in inflammatory bowel disease:a systematic review and meta-analysis of randomized controlled trials. Medicine (Baltimore) 2016;95:e2308.

20. Cirillo L, Somma C, Allinovi M, et al. Ferric carboxymaltose vs. ferrous sulfate for the treatment of anemia in advanced chronic kidney disease:an observational retrospective study and cost analysis. Sci Rep 2021;11:7463.

21. von Haehling S, Ebner N, Evertz R, Ponikowski P, Anker SD. Iron deficiency in heart failure:an overview. JACC Heart Fail 2019;7:36-46.

22. Ferinject (ferric carboxymaltose):Summary of Product Characteristics (SmPC) (EMC). Available from:https://www.medicines.org.uk/emc/product/5910/smpc#gref [Accessed 24 September 2025].

23. Pietrangelo A. Mechanisms of iron hepatotoxicity. J Hepatol 2016;65:226-227.

24. Cappellini MD, Motta I. Anemia in clinical practice-definition and classification:does hemoglobin change with aging?Semin Hematol 2015;52:261-269.

25. Cullis JO, Fitzsimons EJ, Griffiths WJ, Tsochatzis E, Thomas DW;British Society for Haematology. Investigation and management of a raised serum ferritin. Br J Haematol 2018;181:331-340.

26. Liu P, Hum J, Jou J, Scanlan RM, Shatzel J. Transfusion strategies in patients with cirrhosis. Eur J Haematol 2020;104:15-25.

27. Kalambokis GN, Chouliara N, Tsiakas I, et al. Impact of continued alcohol use on liver-related outcomes of alcohol-associated cirrhosis:a retrospective study of 440 patients. Eur J Gastroenterol Hepatol 2024;36:89-96.

28. Evstatiev R, Marteau P, Iqbal T, et al;FERGI Study Group. FERGIcor, a randomized controlled trial on ferric carboxymaltose for iron deficiency anemia in inflammatory bowel disease. Gastroenterology 2011;141:846-853.

29. Chavan S, Rana P, Tripathi R, Tekur U. Comparison of efficacy &safety of iron polymaltose complex &ferrous ascorbate with ferrous sulphate in pregnant women with iron-deficiency anaemia. Indian J Med Res 2021;154:78-84.

30. Møller S, Bendtsen F. The pathophysiology of arterial vasodilatation and hyperdynamic circulation in cirrhosis. Liver Int 2018;38:570-580.

31. Tanimura M, Dohi K, Fujimoto N, et al. Effect of anemia on cardiovascular hemodynamics, therapeutic strategy and clinical outcomes in patients with heart failure and hemodynamic congestion. Circ J 2017;81:1670-1677.

32. Anand IS, Chandrashekhar Y, Wander GS, Chawla LS. Endothelium-derived relaxing factor is important in mediating the high output state in chronic severe anemia. J Am Coll Cardiol 1995;25:1402-1407.

33. Casadevall M, PiquéJM, Cirera I, et al. Increased blood hemoglobin attenuates splanchnic vasodilation in portal-hypertensive rats by nitric oxide inactivation. Gastroenterology 1996;110:1156-1165.

34. Kim-Shapiro DB, Schechter AN, Gladwin MT. Unraveling the reactions of nitric oxide, nitrite, and hemoglobin in physiology and therapeutics. Arterioscler Thromb Vasc Biol 2006;26:697-705.

35. Ni Z, Morcos S, Vaziri ND. Up-regulation of renal and vascular nitric oxide synthase in iron-deficiency anemia. Kidney Int 1997;52:195-201.

36. Elizalde JI, Moitinho E, García-Pagán JC, et al. Effects of increasing blood hemoglobin levels on systemic hemodynamics of acutely anemic cirrhotic patients. J Hepatol 1998;29:789-795.

37. Ponikowski P, Filippatos G, Colet JC, et al;FAIR-HF Trial Investigators. The impact of intravenous ferric carboxymaltose on renal function:an analysis of the FAIR-HF study. Eur J Heart Fail 2015;17:329-339.

38. Shah AA, Donovan K, Seeley C, et al. Risk of infection associated with administration of intravenous iron:a systematic review and meta-analysis. JAMA Netw Open 2021;4:e2133935.

39. Kwon JH, Kang R, Lee SM, et al. Effect of high-dose intravenous iron injection on hepatic function in a rat model of cirrhosis. J Int Med Res 2024;52:3000605241253733.

Notes

Conflict of Interest: None